わかりやすく図解すると
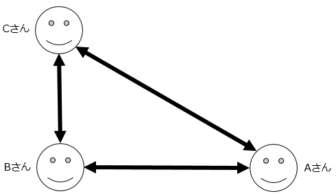
少しイメージがわかないかもしれませんので、図解します。例えば、あるプロジェクトをAさん、Bさん、Cさんが3人で共同作業していたとします。
<図解>

3人でコミュニケーションを取り合うのに、必要なコミュニケーションコストは「3」です。
・Aさん←→Bさん
・Aさん←→Cさん
・Bさん←→Cさん
このプロジェクトは予定よりも遅れていたため、プロジェクトマネージャーが新しい人員Dさんを投入して、スケジュールを回復させようとしました。これはシステム開発にかかわらず、あらゆるプロジェクトで本当によくある話だと思います。
<図解>

新しいDさんが加わったことによって、プロジェクト内のコミュニケーションコストは次のように変化します。
・Aさん←→Bさん
・Aさん←→Cさん
・Bさん←→Cさん
・Dさん←→Aさん
・Dさん←→Bさん
・Dさん←→Cさん
なんと、プロジェクト内のコミュニケーションコストは2倍の「6」に増えるのです。
そして、さらにプロジェクトが遅れていた場合、また新たな人員Eさんを投入すると、次のようになります。
・Aさん←→Bさん
・Aさん←→Cさん
・Bさん←→Cさん
・Dさん←→Aさん
・Dさん←→Bさん
・Dさん←→Cさん
・Eさん←→Aさん
・Eさん←→Bさん
・Eさん←→Cさん
・Eさん←→Dさん
コミュニケーションコストは「10」に増えます。
そして、ブルックスが指摘している通り、新しい人員が増えるためにプロジェクトには次の3つのコストが増えていきます。
(新規コスト1)
再配置そのものに費やされる労力とそれによる作業の中断
(新規コスト2)
新しい人員の教育
(新規コスト3)
追加の相互連絡
上記のコミュニケーションコストは、主に「追加の相互連絡」に焦点を当てて説明していますが、現実的には新規コスト1と2の影響も大きいと思います。
私は新人の時に遅れているプロジェクトに投入されたことがあるのですが、教育されずに放置された経験があります。そのプロジェクトのメンバーが忙しすぎて、「周りの人間のことなんて、構ってられるか」といった、ただならぬ空気が漂っていました。
そして、こちらも新人とはいえ、給料が出ているのに一日中、ボケっとしているわけにはいきません。周りの先輩たちに質問をしまくって、なんとか自分にもできる仕事を見つけようとします。
結果的に周りの人たちに作業を中断させて、新しい教育コストを発生させるという流れになっていたと思います。本来はプロジェクトマネージャーがちゃんと音頭を取るべきなのに、それすらもできていませんでした。
Next: 人員投入は逆効果。では、いったいどうすればいい?









